चित्रकोट एनीकट — जहाँ सीमेंट भी कहानी गढ़ता है
जगदलपुर। बस्तर की धरती यूँ तो झरनों, जंगलों और ईमानदार लोगों के लिए जानी जाती है, पर चित्रकोट एनीकट के मामले ने साबित कर दिया कि यहाँ अब काग़ज़ भी बहता है और गबन भी। फर्क बस इतना है कि पानी दिखता है, पर घोटाला फ़ाइलों में डूबा रहता है।
कहानी शुरू होती है एक एनीकट से, जो पानी रोकने के लिए बना था, पर असल में उसने नियम, मानक और नैतिकता सब बहा दिए। टेण्डर की कण्डिका 2.21.2 बड़े साफ़ शब्दों में कहती है कि निर्माण में ओ.पी.सी. सीमेंट और सेल, टाटा, जिन्दल जैसे प्रतिष्ठित ब्रांड का लोहा ही उपयोग होगा। पर ज़मीनी हक़ीक़त में एनीकट पर जो लगा, वह था पी.पी.सी. सीमेंट यानी नियमों का पोर्तलैंड नहीं, पोर्टेबल संस्करण।
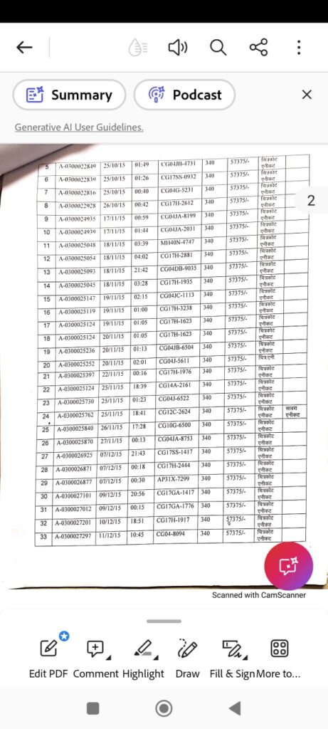
सूचना के अधिकार से जब परदे उठे, तो पता चला कि सीमेंट और लोहे के बिलों की दुनिया बड़ी रंगीन है। बिलों में फैक्ट्री दिखी, पर निर्माण में मानक गायब। अनुमान था लगभग 90 हज़ार बोरी सीमेंट का, जिस पर 749 लाख का टेण्डर बना और 5 प्रतिशत कम दर पर 711 लाख में काम पूरा होना था। समय मिला था 18 माह, पर चमत्कार देखिए काम पूरा दिखा दिया गया 4–5 माह में। लगता है, यहाँ सीमेंट जल्दी जमता नहीं, बल्कि हिसाब जल्दी जम जाता है।
इंजीनियरिंग के इस महाकुंभ में विभाग के अधिकारी धृतराष्ट्र बने बैठे रहे — आँखें थीं, पर नियम नहीं दिखे; कान थे, पर गुणवत्ता की आवाज़ नहीं सुनी। नतीजा यह कि एनीकट खड़ा है, पर भरोसा दरक रहा है। कहा जा रहा है कि कम से कम 4 करोड़ रुपये इस निर्माण में बह गए — न नहर में, न एनीकट में, बल्कि सीधे फर्जी बिलों की धारा में।
सबसे दिलचस्प यह कि जहाँ टेण्डर ने ओ.पी.सी. माँगा, वहाँ पी.पी.सी. ने हाज़िरी लगाई। यानी काग़ज़ पर एक सीमेंट, ज़मीन पर दूसरा। यह कोई तकनीकी चूक नहीं, बल्कि तकनीक से किया गया खेल है। अगर यही इंजीनियरिंग है, तो फिर ईमानदारी को भी किसी उप-ठेके पर दे दिया गया होगा।
अब सवाल उठता है क्या बस्तर का पानी ऐसे ही बहेगा, और सरकारी पैसे ऐसे ही सूखते रहेंगे? क्या जाँच भी एनीकट की तरह सिर्फ़ दिखावे की होगी, या सचमुच कठोर कार्रवाई की धारा बहेगी?
चित्रकोट एनीकट आज सिर्फ़ एक निर्माण नहीं, बल्कि प्रशासनिक व्यंग्य का स्मारक बन चुका है जहाँ सीमेंट कम है, कहानी ज़्यादा; लोहा कम है, लचीलापन ज़्यादा; और जवाबदेही… वह शायद अगली फ़ाइल में रखी है। अब देखना यह है कि इस एनीकट पर सिर्फ़ पानी रुकेगा, या घोटालों का प्रवाह भी।

